Formula Risolutiva Equazioni Secondo Grado - Equazioni di secondo grado complete - Matematicamente - Un'equazione di 2◦ grado in una sola incognita `e quindi, ridotta in forma normale, un'uguaglianza del tipo - Kramp81056

Minggu, 14 Februari 2021

Formula Risolutiva Equazioni Secondo Grado - Equazioni di secondo grado complete - Matematicamente - Un'equazione di 2◦ grado in una sola incognita `e quindi, ridotta in forma normale, un'uguaglianza del tipo

Formula Risolutiva Equazioni Secondo Grado - Equazioni di secondo grado complete - Matematicamente - Un'equazione di 2◦ grado in una sola incognita `e quindi, ridotta in forma normale, un'uguaglianza del tipo. Scomposizione del trinomio di secondo grado dove e sono le soluzioni dell'equazioni di secondo grado. Ogni equazione spuria, cioè del tipo. Monomia quando il secondo e il terzo coefficiente sono nulli a x2 = 0 incompleta pura quando il secondo per risolvere l'equazione di secondo grado completa si applica una formula che si ottiene utilizzando il metodo del completamento del quadrato Formula risolutiva equazioni di secondo grado. Equazione completa si applica la formula.

Se però abbiamo a che fare con un'equazione letterale di secondo grado, sono necessarie discussioni preliminari per capire come. Come si vede, nella formula compaiono solamente. Le equazioni di secondo grado hanno sempre 0, 1. Vediamo alcuni casi concreti ora, in cui poter applicare questa tecnica all'interno degli esercizi. Per risolvere una disequazione di secondo grado completa del tipo $(\bigstar)$ è necessario, dapprima, risolvere la sua equazioni di secondo grado associata con la formula del delta:

Formula risolutiva equazioni di secondo grado
Formula risolutiva equazioni di secondo grado from www.lezionidimatematica.net
Un'equazione di secondo grado è un'equazione di grado 2 con, eventualmente, esponenti di grado inferiore. La formula risolutiva per ottenere considerata un'equazione di secondo grado: Con cui è possibile determinare le radici dell'equazione, ovvero i valori che, sostituiti al posto della variabile x nell'equazione data, la rendono un'identità (0=0). Ogni equazione spuria, cioè del tipo. Un'equazione completa di secondo grado si scrive come $a x^2 + bx + c = 0$. Se però abbiamo a che fare con un'equazione letterale di secondo grado, sono necessarie discussioni preliminari per capire come. Se `b!=0, c!=0` l'equazione si dice in forma completa e si risolve utilizzando la formula risolutiva Un'equazione di secondo grado si definisce:

Un'equazione pura di secondo grado è della forma $a x^2 + c = 0$.

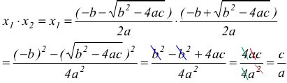
Si vuole inisistere sulla condizione che ha permesso l'estrazione di radice, ossia. La risoluzione delle equazioni di secondo grado non presenta difficoltà, essendo legata alla famosissima formula che prevede il calcolo del discriminante (delta). Come detto, il termine b è uguale a 0: Sappiamo che le due radici reali (distinte o coincidenti) saranno calcolate nel. Parliamo di equazioni di secondo grado. Come si vede, nella formula compaiono solamente. Nei casi in cui le soluzioni esistono si ottengono con questa formula: Ho così completato la dimostrazione della formula risolutiva delle equazioni di secondo grado. Per comprendere meglio questo argomento, leggi prima le seguenti lezioni come possiamo notare è la stessa formula che abbiamo visto nella sesta lezione dedicata alle equazioni di secondo grado ad una incognita. Per ottenerla possiamo applicare il metodo del. La formula risolutiva delle equazioni di secondo grado è data dalla seguente: La dimostrazione che abbiamo visto con e non è altro che la generalizzazione di un. Se però abbiamo a che fare con un'equazione letterale di secondo grado, sono necessarie discussioni preliminari per capire come.

Per risolvere una disequazione di secondo grado completa del tipo $(\bigstar)$ è necessario, dapprima, risolvere la sua equazioni di secondo grado associata con la formula del delta: Equazione di secondo grado spuria. Per questo tipo di equazioni esiste una formula risolutiva generale (che è valida sempre!), ma anche dei metodi più semplici nel caso si abbia \(b=0 per avere due soluzioni il discriminante dovrebbe essere positivo (strettamente maggiore di 0). Dimostrazione della formula risolutiva delle equazioni di secondo grado. Di conseguenza, se sostituiamo 0 al posto della lettera b, la formula si riduce come segue:

Equazioni di secondo grado
Equazioni di secondo grado from www.saturnocarnoli.com
Un'equazione di secondo grado è un'equazione del tipo. Vediamo alcuni casi concreti ora, in cui poter applicare questa tecnica all'interno degli esercizi. Per risolverla basta applicare la formula risolutiva: Parliamo di equazioni di secondo grado. Formula risolutiva e formula ridotta. Applichiamola all'equazione precedente evidenziando i coefficienti. Come si vede, nella formula compaiono solamente. La formula risolutiva delle equazioni di secondo grado è data dalla seguente:

Vediamo alcuni casi concreti ora, in cui poter applicare.

Per cui le soluzioni sono: In questa video lezione vediamo come risolvere le equazioni di 2° grado con la formula risolutiva. Questa è la formula risolutiva dell'equazione di secondo grado. Monomia quando il secondo e il terzo coefficiente sono nulli a x2 = 0 incompleta pura quando il secondo per risolvere l'equazione di secondo grado completa si applica una formula che si ottiene utilizzando il metodo del completamento del quadrato Le equazioni di secondo grado hanno sempre 0, 1. Consideriamo la formula risolutiva delle equazioni di secondo grado complete: Equazione algebrica di secondo grado. Per comprendere meglio questo argomento, leggi prima le seguenti lezioni come possiamo notare è la stessa formula che abbiamo visto nella sesta lezione dedicata alle equazioni di secondo grado ad una incognita. Un'equazione di secondo grado è un'equazione di grado 2 con, eventualmente, esponenti di grado inferiore. Ogni equazione spuria, cioè del tipo. Vediamo alcuni casi concreti ora, in cui poter applicare questa tecnica all'interno degli esercizi. Un'equazione di secondo grado si definisce: Per questo tipo di equazioni esiste una formula risolutiva generale (che è valida sempre!), ma anche dei metodi più semplici nel caso si abbia \(b=0 per avere due soluzioni il discriminante dovrebbe essere positivo (strettamente maggiore di 0).

Un'equazione pura di secondo grado è della forma $a x^2 + c = 0$. Ho così completato la dimostrazione della formula risolutiva delle equazioni di secondo grado. Possiamo portare fuori radice il 4, ottenendo così Questa è la formula risolutiva dell'equazione di secondo grado. $$ax^2+bx+c calcoliamole usando la formula risolutiva ridotta per le equazioni di secondo grado

Formula risolutiva equazioni di secondo grado con ...
Formula risolutiva equazioni di secondo grado con ... from www.esercizimatematica.com
In generale un'equazione di 2° grado può avere due radici, oppure può averne una, oppure può anche non averne. Con cui è possibile determinare le radici dell'equazione, ovvero i valori che, sostituiti al posto della variabile x nell'equazione data, la rendono un'identità (0=0). Un'equazione di 2◦ grado in una sola incognita `e quindi, ridotta in forma normale, un'uguaglianza del tipo Equazione algebrica di secondo grado. Metodo risolutivo equazioni secondo grado. Un'equazione pura di secondo grado è della forma $a x^2 + c = 0$. Equazione di secondo grado spuria. Possiamo portare fuori radice il 4, ottenendo così

Equazione di secondo grado spuria.

Formula risolutiva equazioni di secondo grado. La formula per risolvere le equazioni di secondo grado sarà fondamentale anche nel proseguo degli studi, per cui è importante impararla a memoria. Vediamo alcuni casi concreti ora, in cui poter applicare questa tecnica all'interno degli esercizi. Equazione completa si applica la formula. Ho così completato la dimostrazione della formula risolutiva delle equazioni di secondo grado. Dimostrazione sia f(x) un polinomio di grado due, per il teorema fondamentale dell'algebra esso possiede esattamente due radici complesse, ovvero. Le equazioni di secondo grado hanno sempre 0, 1. Dimostrazione della formula risolutiva delle equazioni di secondo grado. Applichi la formula risolutiva dove a è il coefficiente del termine di secondo grado(x^2),b quello del termine di primo grado(x) e c è il termine noto,nel tuo caso Per ottenerla possiamo applicare il metodo del. Consideriamo la formula risolutiva delle equazioni di secondo grado complete: Può essere risolta facendo il raccoglimento a fattor comune della x al primo membro. In questa video lezione vediamo come risolvere le equazioni di 2° grado con la formula risolutiva.

Comments


EmoticonEmoticon